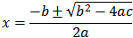
Quadratic formula to solve quadratic equations

Given a quadratic equation:    ax2 + bx + c = 0     a, b, c are real numbers and a≠0,
you can solve it by using the quadratic formula:

Solving means finding the solutions of the equation,
i.e. the values that substituted for x make the equation true.
There can be zero, one, or two solutions.
These solutions are also the x-intercepts of the graph of the corresponding quadratic function.
Solutions are also called roots and zeroes.

Equation a b c # solutions solutions
x2 = 0 1 0 0 one 0
x2 + 1 = 0 1 0 1 zero
x2 - 1 = 0 1 0 -1 two -1, 1
x2 + x = 0 1 1 0 two 0, -1
x2 - x = 0 1 -1 0 two 0, 1
x2 - x - 1 = 0 1 -1 -1 two φ, 1-φ
x2 + x - 1 = 0 1 1 -1 two -φ, φ-1
x2 + x + 1 = 0 1 1 1 zero
x2 - x + 1 = 0 1 -1 1 zero
x2 - 2 = 0 1 0 -2 two -√2, √2
x2 - 2ex + e2 = 0 1 -2e e2 one e
x2 - 9 = 0 1 0 -9 two -3, 3
x2 + 9 = 0 1 0 9 zero
x2 - 6x + 9 = 0
  ≡ (x-3)2 = 0
1 -6 9 one 3
x2 + 6x + 9 = 0
  ≡ (x-3)2 = 0
1 6 9 one -3
x2 + 6x - 9 = 0 1 6 -9 two -3-3√2, -3+3√2
x2 - 6x - 9 = 0 1 -6 -9 two 3-3√2, 3+3√2
-4.9x2 + 122.5 = 0 -4.9 0 122.5 two -5, 5
-4.9x2 + 50x = 0 -4.9 50 0 two 0, 10.204

Baby number coefficients a,b,c: [-10,10] a≠0
Of the 8820 EQs, 5424 have 2 solutions, 64 one solution, 3332 no solutions


Solving quadratic equation by factoring

The Zero Property: If ab=0 then a=0 or b=0.
Some quadratic expressions are factorible into a pair of linear factors:
some factor over Z: e.g. x2+3x+2 = (x+1)(x+2)
some factor over Q: e.g. x2+7/6x+1/3 = (x+1/2)(x+2/3)
some factor over R: e.g. x2+4√2x+6 = (x+√2)(x+3√2)
the rest over C: e.g. x2+9 = (x+3i)(x-3i) Always a pair of complex conjugates.
     e.g. x2+x+1 = (x+(1/2+√3i/2))(x+(1/2-√3i/2))

Ex. x2+3x+2 = 0 → (x+1)(x+2) = 0 and so either x+1=0 or x+2=0, which mean x=-1 or x=-2, the two solutions of the QE.


A quadratic polynomial can be factored over the integers Z if its coefficients a, b, c are integers
AND its discriminant D = b2-4ac is a perfect square
AND (-b±√D)/ 2a is/are integer(s), i.e. 2a divides -b±√D

Baby number coefficients a,b,c: [-10,10] a≠0
Of the 8820 EQs, 326 (3.7%) are factorable over the integers. "rare"
and all 326 have 2 or 1 solution.