Line segment

The shortest distance between two points is a line segment.

Use the Pythagorean theorem to do these. The "base" b and "height" a of the (imaginary) right triangle whose hypotenuse c is the line segment connecting the two points.
So you won't need to bother with the complicated formulas.

Two points: (x1,y1) and (x2,y2)
(, )     (, )

Distance between the two points (=length of the line segment) =
=        NB. (a-b)2=(b-a)2, so order of x's and y's does not matter.
=

Midpoint is
       i.e. (average of the x's, average of the y's) = (midway x, midway y) = average of the 2 points. Splits the line segment into two equal-length line segments.
=(, )

Bonus. Of the line that this segment is a piece of:
Slope m=   y-intercept b=   zero -b/m=   Slope-intercept:

One endpoint at origin, other at (a,b). Length formula? What is midpoint?
Given an endpoint and the midpoint, what is the other endpoint?
Three points define a triangle. The three midpoints define a triangle. Look.

Examples of line segments:
              


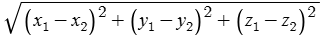
3D: two points (x1,y1,z1) and (x2,y2,z2) distance between them is


Worksheets. Length of each line segment and its midpoint.
Vertical and horizontal line segments by inspection.
Diagonal line segment as the hypotenuse of a right triangle
whose "base" side is |x1-x2|, the distance between the x's,
and whose "height" side is |y1-y2|, the distance between the y's.
Pythagorean theorem:   hypotenuse = √(base2+height2)

"Bonus" review of some basic right triangles.